พฤษภาคม 2026 อา. จ. อ. พ. พฤ. ศ. ส. 1 2 3 4 5 6 7 8 9 10 11 12 13 14 15 16 17 18 19 20 21 22 23 24 25 26 27 28 29 30 31 -
เรื่องล่าสุด
-
เรื่องล่าสุด
- ประกาศรายชื่อผู้ผ่านการคัดเลือกเข้าศึกษาต่อระดับปริญญาตรี รอบโควตารับตรงพิเศษ (Online3) ประจำปีการศึกษา 2569 กุมภาพันธ์ 12, 2026
- ประกาศรายชื่อผู้มีสิทธิ์สอบสัมภาษณ์เพื่อเข้าศึกษาต่อระดับปริญญาตรี รอบโควตารับตรงพิเศษ (Online3) ประจำปีการศึกษา 2569 กุมภาพันธ์ 5, 2026
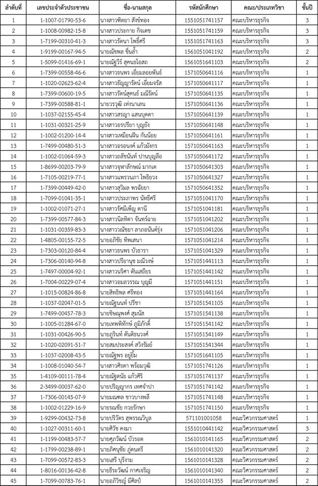
- ประกาศรายชื่อผู้ผ่านการคัดเลือกเข้าศึกษาต่อระดับปริญญาตรี ประจำปีการศึกษา 2567 รอบ Walkin 4 พฤษภาคม 2, 2024
ประกาศ!! ประกาศกองทุนฯ
This entry was posted in ไม่มีหมวดหมู่. Bookmark the permalink.

